Neevan Ramalingam

Discrete Memoryless Multicast Network

We consider a very general network model widely used in multi-user information theory. The discrete memoryless multiple source multicast network includes many important class of channels as its special case. Relay, Interference and Two-way relay channels are few examples. An example of a four node single source multicast network is shown below.

The application of superposition noisy network coding to the discrete memoryless network provides the following achievable rate region

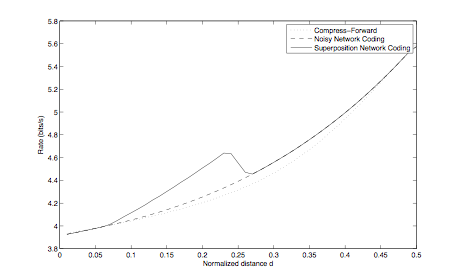
The achievable rate region is derived for a Gaussian two way relay channel. The graph shown below compares the rates achieved by different encoding schemes as a function of normalized relay distance from the source. It can be observed that the superposition noisy network scheme achieves rates higher than the existing schemes in general.